鉅大鋰電 | 點擊量:0次 | 2018年05月15日
鋰離子在有機電解液中是如何遷移的?
有機電解液
如圖1中所示,電解液在鋰電池內部起到一個載體作用,其在正負極材料之間為離子傳輸提供了傳輸路徑。簡單以充電過程舉例,Li+從正極活性物質中脫出,正極固相顆粒表面Li+濃度降低,使顆粒內部與表面間出現濃度差異,致使Li+產生顆粒由內向外的固相擴散。同時由顆粒表面電化學反應生成的Li+進入電解液中,溶液相中界面區域的局部濃度提高,使溶液相內部產生濃度差異,導致Li+產生從內向外的擴散與遷移。而在負極區域,由于負極顆粒與電解液中的Li+發生電化學反應,消耗了溶液相中的Li+,使溶液相局部Li+濃度降低,產生濃度差異,導致Li+在溶液相中產生由外向內的擴散與遷移。

同時在負極顆粒表面發生電化學反應,嵌入Li+,使顆粒內部出現濃度差異,導致Li+在顆粒內部產生從外向內的固相擴散。在隔膜處,由于正極與負極過程導致的濃度差異,導致該區域的Li+產生從正極到負極的擴散與遷移,放電過程則與上述過程相反。由上述過程可知,鋰電池的正常、高效運轉,主要決定于鋰離子在電池內部的遷移情況。鋰離子的遷移情況受到電解液的性質的制約,電解液的性質主要是由以下要素影響的。
1.鋰鹽溶解
電解液由溶質和溶劑組成,溶質一般選用LiPF6溶劑一般選用多種有機溶劑相組合的液體。當把LiPF6溶入溶劑中后,就形成了鋰離子和PF6?負離子。鋰鹽的溶解與溶劑的介電常數密切相關,介電常數越大對鋰鹽的溶解能力就越強。當鋰離子被溶劑分子完全包圍后,負離子對鋰離子的影響減弱,就發生了所謂的溶解。對于鋰鹽而言,陰離子越大越有利于電解液的離子導電性及其自身的溶解,這是因為陰離子越大,越容易分散其負電荷并能防止陽離子的配對。
2.電解液粘度
電解液的粘度會對離子的移動產生重要影響,粘度越低越有利于離子的移動。

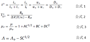
正如以上所述的,鋰離子在電極液的溶解作用和粘度影響下進行運輸和轉移。公式1中t+為運輸數目,i+和i-分別代表陽離子和陰離子所形成的電流,it代表總電流,u±代表陰陽離子的移動性,D±代表陰陽離子的擴散系數。
實際上,離子阻力不僅跟陰陽離子有關,也跟溶劑有一定關系。離子遷移數目可以用以公式2來表示:
其中,TLi++代表鋰離子遷移數目,△V是極化電壓,I(∞)是極化后的穩態電流,Rb和Rct是體電阻和充電轉移電阻。
單相溶劑系統的電解液很難既有高的電導率又有低的粘度,因此常用的電解液溶劑采用多種溶劑復配的方式來配制,比如二元的電解液我們是這樣配制的m(鋰鹽)+(1-w)(溶劑A)+w(溶劑B),鋰鹽m單位一般是質量摩爾濃度,mol/kg,w是溶劑的質量分數。對于單元電解液,并沒有可靠的理論來預測電解液的粘度和離子電導率。Jones–Dole(JD)和Debye–Hückel–Onsager(DHO)曾經提出過兩個經驗公式分別是公式3和公式4:
其中,μr是相對粘度,μ是溶液粘度,μ0是純溶劑粘度,C是鋰鹽濃度,A、B、D是系數,Λ是摩爾電導率,Λ0是在無限稀釋狀態下的摩爾電導率,S是受溶劑物理性質和電解質性質影響的參數,C是溶質濃度。如果鋰鹽和溶劑的種類變化之后,經驗公式也需要進行修改。對于混合體系電解液來說,公式會更加復雜。
所以,當配置新的多元復配電解液時,電解液的性能需要試驗來測定,而無法進行預先估測。雖然離子電導率對于電池性能影響很大,但是其它因素例如SEI的形成和性能也是非常關鍵的因素,電解液在高倍率下的穩定性、毒性等也應該考慮到。總之,一切與實際生產應用有關的因素都要考慮,然后才考慮離子電導率參數。










